亚洲无码 团队在海洋气溶胶增长机制研究方面取得重要进展
供稿、供图:张秀辉 编辑:段凯龙

近日,亚洲无码 /原子分子簇科学教育部重点实验室张秀辉教授团队与中科院生态环境中心贺泓研究员团队和美国宾夕法尼亚大学Joseph S. Francisco教授团队合作,在海洋气溶胶增长机制研究方面取得重要进展。相关研究成果以“Chemical Implications of Rapid Reactive Absorption of I2O4 at the Air-Water Interface”为题,在国际顶级化学期刊《美国化学会志》(Journal of the American Chemical Society, JACS)上发表(DOI: 10.1021/jacs.3c01862)。该工作以亚洲无码 为第一通讯单位,张秀辉教授、贺泓研究员和Joseph S. Francisco教授为共同通讯作者,亚洲无码 博士后宁安与中国石油大学钟杰教授为该论文的共同第一作者。
海洋气溶胶构成了全球最大的自然源气溶胶体系,对全球的辐射平衡、气候变化乃至人们的生活都有着重要影响。尽管已有研究表明含碘物质与海洋气溶胶的形成密切相关,但其参与的气溶胶增长机制尚不清楚。已有实验室研究表明,碘氧化物(IxOy)是气溶胶粒子形成的重要组分(其中四氧化二碘I2O4浓度最高)。然而,外场检测到的气溶胶粒子的主要碘组分为IO3-离子,却未检测到碘氧化物。实验室与外场观测上的分歧难以用当前的化学反应机制来解释,这很大程度上限制了人们对碘氧化物如何影响海洋气溶胶形成的理解。
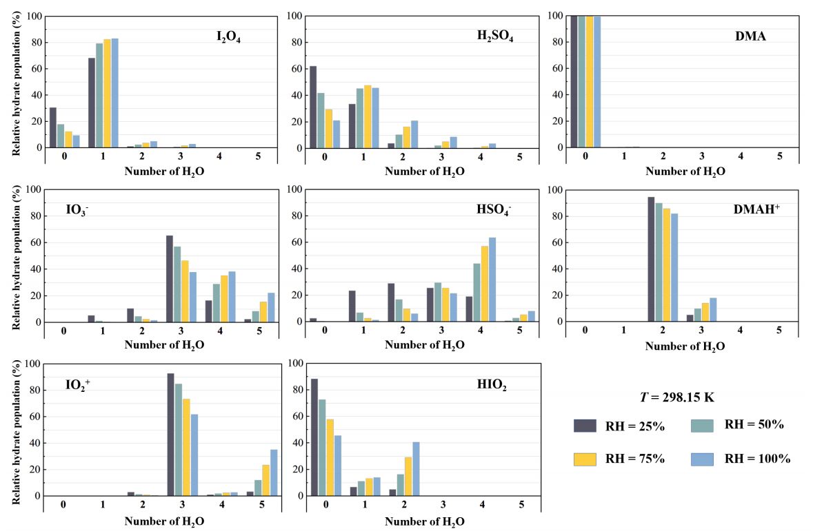
亚洲无码 张秀辉教授团队及其合作者通过量子化学计算与第一性原理分子动力学模拟相结合的方案揭示的大气中硫酸和胺类物质影响下的I2O4的气-液界面(即液相气溶胶表面)上的非均相反应机制则较好地解释了上述分歧问题。由于真实大气中的化学组分远比“单纯”的实验环境更为复杂,除碘氧化物外,还存在着污染物硫酸、以及海洋类生物排放生成的胺类组分。她们合作研究发现,在硫酸和有机胺的参与下,I2O4可在气溶胶气-液界面快速(皮秒级别)反应(图1)生成亚碘酸HIO2以及一系列离子产物,如HSO4-、IO3-、DMAH+等。所生成的反应产物间可通过氢键、卤键和离子键结合为尺寸更大的复合物,进而限制其向液滴体相的扩散;同时,界面水分子通过氢键与产物分子结合,使其难以蒸发至气相(图2)。且上述附着于液滴表面的产物(IO3-/DMAH+等)相比于反应物(I2O4/DMA等)有更低的挥发性和更高的吸湿性(图3),还可促进气溶胶的吸湿性增长。

图1.硫酸、有机胺影响下的I2O4的气-液界面反应机制

图2. I2O4的气-液界面反应产物

图3. I2O4气-液界面反应物/产物的水合分布
综上,该研究揭示的硫酸和有机胺影响下的I2O4在气溶胶气-液界面的反应机制不仅解释了实验室与外场观测上的分歧,而且有助于理解碘化学的非均相反应过程及其对气溶胶增长的影响机制。同时还揭示了海洋气溶胶中HSO4-/IO3-等重要组分的新来源,进而对深入理解海洋大气碘化学与气溶胶形成间的联系提供了理论线索。
该研究得到了国家杰出青年科学基金(22225607)和国家自然科学基金(21976015和22188102)的支持。
文章链接://pubs.acs.org/doi/10.1021/jacs.3c01862
附作者简介:
张秀辉:亚洲无码 教授,博士生导师,国家杰出青年科学基金获得者。2007年亚洲无码 博士毕业并获全国百篇优秀博士论文提名。主要从事大气颗粒物形成机制的理论研究工作,以通讯或第一作者在J. Am. Chem. Soc.,Angew. Chem. Int. Ed.,Proc. Natl. Acad. Sci. USA等期刊发表SCI论文60余篇。以第三完成人获教育部自然科学二等奖、国防科工委国防科学技术二等奖和中国兵器集团公司科学技术二等奖。培养的1名博士生获中国颗粒物学会优秀博士论文。团队主页://www.xmol.com/groups/bit_zhangxiuhui
(审核:王振华)
