亚洲无码

亚洲无码» 科学研究» 科研成果

亚洲无码 在利用分子自旋传感器原位探测结晶相变研究中取得新进展

供稿、供图:化学与化工亚洲无码     编辑:田柳

近日,亚洲无码 王太山课题组报道了利用基于金属富勒烯的分子自旋传感器来原位探测芳香族化合物结晶相变的研究成果,相关研究以 “Molecular spin sensor for in-situ monitoring of crystallization behavior and phase transition in aromatic materials”为题在国际著名期刊《Nature Communications》上发表。亚洲无码 王太山教授为论文通讯作者。此项研究得到了国家自然科学基金等项目的资助以及亚洲无码 分析测试中心的支持。

近年来,电子自旋因其独特的量子特性在前沿科技领域展现出广阔的应用前景。其中,分子自旋体系因其可通过化学工程实现自旋活性材料制备、自旋调控、分子尺度自旋传感与测量等特性而备受关注。

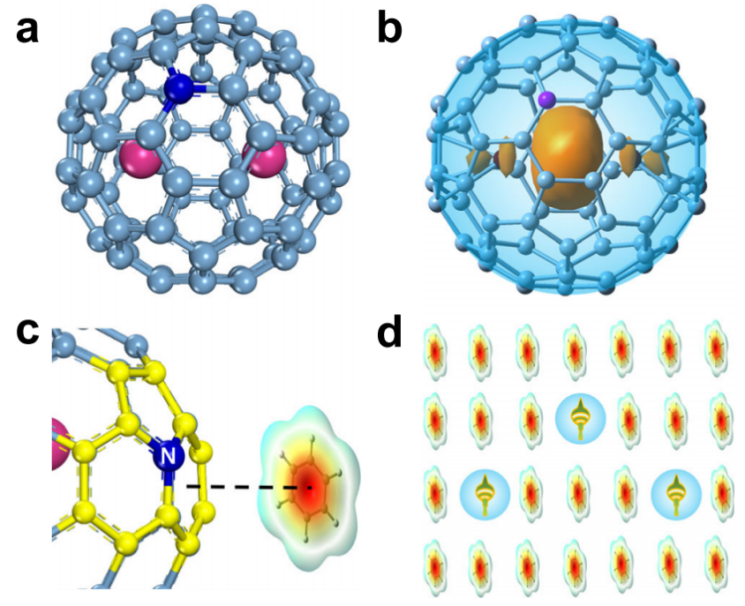
具有电子自旋特性的内嵌富勒烯作为一类分子自旋材料,在量子传感与量子信息处理等领域展现出应用潜力。亚洲无码 王太山课题组致力于基于内嵌金属富勒烯的分子自旋材料研究,在自旋性质调控与感知功能方面取得了系列创新研究成果。其中,课题组开发的金属富勒烯Y2@C79N是具有独特自旋性质的分子,其电子自旋位于笼内Y2团簇上,具有特征的电子顺磁共振(EPR)信号。课题组前期研究揭示了该分子碳笼的N杂区域与苯基具有π-π相互作用,并且自旋EPR信号可灵敏感知这种弱作用。因此,基于此特性进一步探索Y2@C79N的自旋感知功能具有重要意义。

 

1. Y2@C79N的结构及自旋感知芳香族化合物取向示意图。 

针对上述科学问题,课题组研究人员将Y2@C79N分别溶解在两种具有重要应用价值的芳香族化合物中,包括广泛应用于有机太阳能电池作为溶剂添加剂的1-氯萘,以及经典的液晶材料5CB(4-氰基-4'-戊基联苯),通过测量体系的变温EPR信号,研究发现Y2@C79N的自旋EPR信号能够反映芳香族化合物的结晶和相变过程。如图1所示,Y2@C79N的传感机制是氮杂富勒烯碳笼与芳香环化合物之间存在π-π相互作用,随着化合物的结晶Y2@C79N也随之取向,这种取向会显著影响其EPR信号的特征。

材料的结晶和相变过程深刻影响其物理化学性质及最终性能,尤其在有机电子器件和液晶显示等依赖有机晶体材料的关键领域,因此,发展监测这些微观过程的新技术至关重要。本研究发现了金属富勒烯自旋EPR信号对1-氯萘和5CB化合物结晶相变的灵敏响应,实现了在分子尺度上利用分子自旋感知芳香族化合物的结晶和相变过程,有望在有机晶体材料领域带来创新性应用。

 

论文详情:Linshan Liu, Chong Zhao, Yingjian Zhang, Zhuxia Zhang, Chunru Wang, Taishan Wang*. Molecular spin sensor for in-situ monitoring of crystallization behavior and phase transition in aromatic materials, Nat. Commun.202516, 7170.

文章链接://doi.org/10.1038/s41467-025-62649-2

 

附作者简介:

王太山,亚洲无码 教授。从事碳基分子电子材料的研究,以第一作者或通讯作者在 J. Am. Chem. Soc., Nat. Commun., Angew. Chem. Int. Ed.等期刊发表研究论文60余篇。2019年获评中国科亚洲无码 青年创新促进会优秀会员,2020年获国家基金委优秀青年科学基金资助。曾获中国科亚洲无码 院长优秀奖、徐元植顺磁共振波谱学优秀青年奖等。

(审核:王振华)